药物所首页
药物所首页
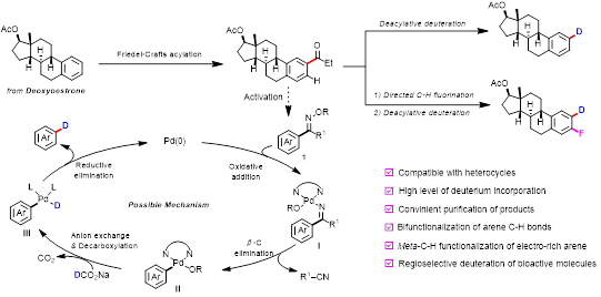
2024年1月27日,中国科学院上海药物研究所戴辉雄课题组于Angew. Chem. Int. Ed.发表了题为Palladium-Catalyzed Deuteration of Arylketone Oxime Ethers的研究论文,通过开展基于芳酮C–C键活化的氘化反应研究,为合成氘代天然产物及药物分子提供了高效方法。
碳-碳键是构成有机化合物基本骨架的化学键,碳-碳键的断裂与重组在生物体内和工业生产中普遍存在,因此发展碳-碳键断裂的新方法具有十分重要的意义。它不仅可以为现代合成化学提供大量廉价易得的原材料,还能为缓解能源危机、减少环境污染和可再生资源的利用提供新的解决方案。如石油工业产品的改性利用、造成白色污染的塑料制品的降解以及高聚物的降解再转化利用等。与已广泛研究、日趋成熟的碳-碳键形成方法相比,碳-碳键断裂的方法学研究相对滞后。这是由于过渡金属催化的碳-碳键断裂和重组往往是一对可逆的过程,其中碳-碳键的解离能远远高于碳-金属键,从热力学角度来看,碳-碳键的断裂非常困难。
有机酮是一类重要的有机化合物,其广泛存在于药物分子,功能材料和天然产物中。通过过渡金属催化对酮类化合物的碳-碳键活化,不仅可以实现对这类化合物的有效转化,同时由于这类原料来源广泛,易得,因此还可以提供新的芳基、烯基、炔基和烷基化试剂。戴辉雄课题组长期致力于金属钯催化下,通过发展多配体协同接力的策略,实现了芳酮和烯酮的一系列官能团转化(Angew. Chem. Int. Ed., 2020, 59, 14388;ACS Catal. 2021. 11, 1758;ACS Catal. 2022, 12, 82; Sci China Chem, 2023, 66, 2037; iScience, 2022, 25, 104505;Org. Lett. 2021, 23, 2147;2021, 23, 8291;2022, 24, 7344;Chem. Commun., 2021, 57, 9716;2023, 59, 3269;J. Org. Chem. 2022, 87, 6807;Chin. J. Chem. 2023, 41, 3587;Tetrahedron Lett. 2022, 95, 153721.)

芳基酮C-C键断裂官能团化
在前期工作基础上,该课题组以芳酮为底物,氘代甲酸钠作为氘源,通过酰基为离去基团,实现了钯催化配体促进的区域选择性氘化反应;通过以酰基作为导向基团及离去基团,实现对芳酮底物的双官能团化修饰。该反应为合成氘代天然产物及药物分子提供了一种简便的方法。

芳基酮C-C键断裂氘化
上海药物所博士后王震宇和南京中医药大学硕士研究生张顼为该论文共同第一作者。上海药物所戴辉雄研究员、徐辉副研究员为该论文共同通讯作者。本研究还得到国家自然科学基金、上海市科委、上海市学术带头人计划及上海市超级博士后等项目的支持。
全文链接:https://onlinelibrary.wiley.com/doi/full/10.1002/anie.202319773
(供稿部门:戴辉雄课题组;供稿人:王震宇)